Registration: Landmark-Least Squares

The Registration: Landmark-Least Squares algorithm provides a way for registering an image to the reference image by using corresponding points placed in both images. This algorithm works on images requiring rotation and translation, but it does not work on images requiring scaling, because this is a rigid transformation based on two homologous landmark datasets.

Background

The algorithm relates the two corresponding point sets on the image to be registered and on the reference image using the following equation:

where

pA[i][j] = the point set of the reference image
pB[i][j] = the point set of the image to be registered
i = a value from 0 to the number of dimensions - 1
j = a value from 0 to the number of user-placed corresponding points - 1
R = a rotation matrix
T = a translation vector
No[i][j] = a noise vector

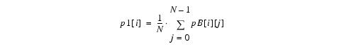
This algorithm calculates a least-squares solution of R and T, which is based on a singular value decomposition of a 2 x 2 matrix in 2D or a 3 x 3 matrix in 3D. It, first, calculates the centroid p1[i] in the image to be registered:

It, then, calculates the centroid p2[i] in the reference image:

where N = the number of corresponding user points.

The algorithm, next, calculates the difference between the points and the centroid voxel in the image to be registered (q1[i][j]):

and then the difference between the points and centroid voxel in the reference image (q2[i][j]):

The algorithm then performs the following steps:

If the determinant is 1, the algorithm succeeded and the rotation matrix .
If the determinant is -1 and the images are 3D, then the singular values of matrix H must be examined. If one and only one of the three singular values is 0 and the two singular values are unequal, then the case is coplanar, but not colinear. It is made to work by simply changing the sign of the third column of the V matrix to form Vp and obtain .
Table 1 A determinant of X depending on the image type
Image type
If this is true . . .
Then . . .
Comments
Determinant
Matrix H
Success
Failure
2D images
1
X
Rotation matrix
R = X
-1
Has no zero singular values
X
Data too noisy
-1
Has one singular value
X
Data is colinear
3D images
1
X
-1
Has no zero singular values
X
Data too noisy
-1
Has one zero singular value and the other two singular values are unequal
X
This is made to work by changing the sign of the third column of the V matrix to form Vp and obtain
-1
Has two equal singular values
X
Colinear

Image types

You can apply this algorithm to 2D and 3D grayscale and color images.

Special notes

The following notes apply:

Figure 1. Landmark-Least Squares processing
Both the reference image (A) and the image to be registered (B) have at least three noncollinear landmarks identified. Applying the Landmark-Least Squares algorithm produces the image shown in C.

Reference

Refer to the following reference for more information:

"Least-Squares Fitting of Two 3-D Point Sets" by K.S. Arun, T.S. Huang, and S.D. Blostein, IEEE Transactions on Pattern Analysis and Machine Intelligence, Vol. PAMI-9, No. 5, September, 1987,
pp. 698-700.

Applying the Landmark-Least Squares Registration algorithm

To run this algorithm, complete the following steps:

  1. Open two images: the target image and the reference image. When you apply this algorithm, MIPAV registers the target image to the selected reference image.
  2. Perform, as an option, any other image processing, except scaling, on both images.
  3. Place a minimum of three points in 2D images or four points in 3D images in the reference image. The points must not be colinear.

    Note: Three-dimensional (3D) images can handle cases that are coplanar but not colinear.


  4. Place the corresponding points in the target image. Note that the dialog box shows the last image clicked on as the target image.

    Tip: Make sure that you delineate the points on the target image in the same order as on the reference image. That is, point 1 on the reference image should correspond to point 1 on the target image, point 2 on the reference image should correspond to point 2 on the target image, etc.


  5. Select Algorithms > Registration > Landmark - Least Squares. The Least Squares Registration dialog box (see Figure 2) appears.
  6. Select the name of the target image in the Register to box if it is not already present.
  7. Click OK.
The algorithm begins to run. A pop-up window appears with the status.
When the algorithm finishes running, the pop-up window closes, and the registered image appears in the Transformed Image window.
Figure 2. Least Squares Registration dialog box
Register [name of source image] to [name of reference image]
Displays a set of possible reference images.
This box registers the image to be registered to the selected reference image.
OK
Applies the algorithm according to the specifications in this dialog box.
Cancel
Disregards any changes that you made and closes the dialog box.
Help
Displays online help for this dialog box.