The Optimized Automatic Image Registration method in MIPAV determines a transformation that minimizes a cost function, which represents the quality of alignment between two images. The standard registration problem of computing a transformation that best aligns a reference image to a target image is formulated as a mathematical optimization problem of determining the global minimum of a cost function. The method evaluates the cost function at several different image resolutions, starting with the lowest resolution. Each step of increasing resolution utilizes the previously determined optimal transformation as a starting point and further refines its values. This method usually works well with the images of the same modality.
The main approach for determining an optimal transformation is to calculate a cost function, determine how it changes as individual transformation parameters are varied, and find the parameters that minimize the value of the cost function. For instance, Figure 1 shows a plot of a sample cost function for a selection of transformation parameters; in each plot, a single parameter is varied while all other are kept constant.
Another fundamental step in this registration method is to resample and interpolate the reference and target images at several different resolutions (starting with a coarse voxel size and gradually increasing the resolution), while searching for the min cost function.
The resampling process may influence the computed value of the cost function; therefore, several different interpolation methods are incorporated with this technique. These methods are discussed in more detail later in Resampling Interpolation[[1]] Taking into account the resampling and interpolation criteria, the Optimized Automatic Registration method begins searching for an optimum transformation using the Powell method at a coarse resolution. Once a transformation has been determined that minimizes the cost function, the transformation is further refined by progressively increasing the resolution.
The algorithm offers various resampling interpolation methods combined with the Correlation Ratio, Least Squares, Normalized Cross Correlation, and Normalized Mutual Information as a cost function.
|
See Also Cost functions used in MIPAV algorithms [[2]] |
You can apply Optimized Automatic Registration method to color, grayscale and black-and-white 2D and 3D images.
As a part of the transformation optimization process the images are subsampled by 8, 4, and 2 times.
Following Sections 1.2-1.5 describe in detail the algorithms and methods used to perform Steps 1-8 of the optimization routine.
Blurring
The registration algorithm first, determines the minimum resolution for each dimension of the reference and target images. The reference image is blurred to the resolution of the target image if one of the resolutions in a dimension of the target image is 50% or larger than the corresponding resolution in the reference image. Likewise, the target image is blurred to the resolution of the reference image if one of the resolutions in a dimension of the reference image is 50% or larger than the corresponding resolution in the target image. It is possible (but not likely) that both the reference and target images will be blurred.
|
|
See also Resampling Interpolation [[6]] |
Once this isotropic 1mm resolution images have been obtained, the subsampled versions are also created. The sub-sampling algorithm then simply keeps every n-th point (that is, 2, 4 or 8) on the lattice in each direction. Therefore, the new volume contains 1/n3 as many points as the original.
|
|
Resampling can be performed for x, y, and z axes for 3D images, or for only x and y for 2D images. |
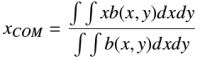
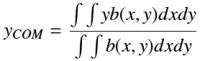
To calculate the center of mass (COM), the method uses the right hand convention in 3D coordinate systems (X, Y, Z). Thus, in the image space, the left hand corner of the image is set to (0,0,0). The x axis goes left to right, y axis goes top to bottom and z axis goes into the screen.
Figure 2. Calculating the center of mass (COM)

Equation 9


The process used in this method performs the following:
levelEight optimization is primarily concerned with determining the rotational transformation that will lead to the globally optimal transformation, which corresponds to the global minimum of the cost function. levelEight optimization uses the lowest resolution images and coarse rotation angles evaluated at relatively large step sizes.
This Optimized Automatic Registration method is based on the empirical observation that finding the correct orientation, or rotation, is the most difficult task in image registration, since the three rotation parameters are highly coupled and most of the erroneous registrations that have been examined have happened primarily due to an incorrect orientation. Therefore, the search concentrates on the rotational part of the transformation.
Specifically, the reference image is oriented, interpolated, and the cost function evaluated for coarse rotations angles (-30, -30, -30), (-30, -30, -15), ..., (-30, -30, 30), where the values represent the amount of rotation in degrees about the x, y, and z axes respectively. Since there are three rotation angles and each angle can contain five different values, there are 125 possible angle configurations.
For each angle configuration, a 4-DOF local optimization is also performed to find the optimal translation and (global) scale. By default, the initial values are set to
The best 20% of the cost values and/or the corresponding angle configurations (candidate local minima) are stored in a vector of minima that is used as a starting point for a further optimization, which uses a smaller step size over a narrower range of angles. Refer to http://OptimizedAutomaticRegistration3D.html.
For each parameter setting corresponding to the top 20% of the cost function minima, the algorithm performs rotations over the fine grid (which is by default 15 degrees with 6 degrees step) and evaluates the cost function.
The method now finds all angle configurations that have the corresponding cost function values lower than their neighbors from the vector of candidate local minima.
For each of these sets of parameters a 7-DOF optimization is then performed, storing the results of the transformation and costs before and after optimization in a vector of minima. #See also Degrees of freedom [[8]]
Since the relative costs of each candidate solution may change at higher resolutions, where structures become more sharply defined, the top 20% of the cost function minima points are considered for the next higher resolution (4) stage, rather than just a single best solution.
By default, the algorithm uses Trilinear interpolation to transform images to this new orientation.

The levelFour optimization step uses the interpolated images subsampled by 4 to determine the transformation that minimizes the cost function starting with the transformations determined in levelEight.
The optimization determines a 7-DOF transformation that corresponds to the minimum value of the cost function. This transformation is then perturbed and the cost function is computed for these new settings. The perturbations correspond to six-degrees for each rotation parameter and a global scaling factor of 0.8, 0.9, 1.1, and 1.2. A type of transformation (translation and/or global scale) is specified by a user. It includes the following transformations: Affine-12 (a default), Rigid-6, Global Rescale-7, and Specific Rescale-9. Here, numbers indicate degree of freedom (DOF).
A vector of parameters and top 20% of the min cost function values are considered for the next step, which involves images subsampled by 2.
|
|
See also Cost functions used in MIPAV algorithms [[9]] and Degrees of freedom [[10]] |
In levelTwo, the method uses the images subsampled and interpolated by 2. The cost function is evaluated using the transformation parameters corresponding to the top 20% minima obtained from the levelFour. It finds the best minimum, and then optimizes it with the 7-DOF and then 9-DOF transformation. The method then returns the best minimum after optimization.
|
|
Note: if a user has limited the degrees of freedom to six, as for the rigid transformation, there will only be one optimization run, with six degrees of freedom. |
This step uses the unsubsampled interpolated images and computes the value of the cost function for each parameter setting determined in the previous levelTwo optimization. The parameters corresponding to the minimum value of the cost function with this resolution are then further optimized for transformations with 7-, 9-, and 12- DOF, unless a rigid (6-DOF) transformation is desired.
What is saved. The method stores
Additional registration parameters
To better align the images, one can also include into calculation additional registration parameters, such as weighting coefficients and advanced parameters used for calculating the min cost function. For more information, refer to Applying the AlgorithmOAR 3D [11]
The Optimized Automatic Registration method resampes images using an interpolation scheme, where anisotropic voxels in the Z direction are resampled into isotropic 1mm cubic voxels. New voxel values are computed using a weighted combination of existing voxel values within a defined neighborhood of the new voxel location. The interpolation methods are available in this implementation of the registration technique, include the folowing:
For more information about the interpolation methods used in Optimized Automatic Registration, refer to Interpolation methods used in MIPAV.
A similarity or cost function measures the similarity between two images. During the Optimized Automatic Registration the adjusted image V is transformed using the transformation functions described above. And the similarity S(U;Vt) between the reference image U and transformed image Vt is then calculated. The Optimized Automatic Registration method searches for the transformation that gives the smallest value of the cost function, which we assume is the transformation that also gives the best alignment.
The cost functions which are implemented in this method include:
Cost functions used in MIPAV algorithms include: Correlation ratio,Least Squares, Normalized Cross Correlation, and Normalized Mutual Information.
The Optimized Automatic Registration method uses the Powell algorithm to find the global minimum of the chosen cost function. For more information about the Powell algorithm, refer to http://math.fullerton.edu/mathews/n2003/PowellMethodMod.html.
The number of independent pieces of information that go into the estimate of a parameter is called the degrees of freedom (DOF).
For more information refer to Cost functions used in MIPAV algorithms, Degrees of freedom.
To run the algorithm, complete the following steps:
In the dialog box,
The algorithm begins to run and the Registering Images window appears with the status. When the algorithm stops running the registered image appears in a new image frame. Refer to Figure 4.
| Recommendation: First, use the default algorithm settings. And then, after completing the first registration run, modify them depending on the result you receive. |
|
|
|
A (top) B (middle) C (bottom)
|
To run the algorithm, complete the following steps:
In the dialog box,
The algorithm begins to run and the Registering Images window appears with the status. When the algorithm stops running the registered image appears in a new image frame.
Bjórn Hamre "Three-dimensional image registration of magnetic resonance (MRI) head volumes" Section for Medical Image Analysis and Informatics Department of Physiology & Department of Informatics University of Bergen, Norway.
Bourke Paul "Interpolation methods" ~pbourke/other/interpolation/index.html http://local.wasp.uwa.edu.au/ ~pbourke/other/interpolation/index.html
B-splines: node4.html http://www.cl.cam.ac.uk/teaching/1999/AGraphHCI/SMAG/ node4.html
Derek L.G.Hill and Philipe Batchelor, Medical Image Registration, Chapter 3: "Registration Methodology: Concepts and Algorithms" edited by Joseph V. Hajnal, Derek L.G.Hill, and David J. Hawkes,CRC Press, 2001, pp. 40-70.
Roger P. Woods, Chapter 33 "Within-Modality Registration Using Intensity-Based Cost Functions" in Handbook of Medical Image Processing and Analysis, Editor, Isaac N. Bankman, Academic Press, 2000, pp. 529-553.
FLIRT homepage: http://www.fmrib.ox.ac.uk/fsl/flirt/
Jenkinson, M. and Smith, S. (2001a) "A global optimisation method for robust affine registration of brain images". Medical Image Analysis, 5(2):143-156, http://www.fmrib.ox.ac.uk/fsl/flirt
Jenkinson Mark and Stephen Smith "Optimisation in Robust Linear Registration of Brain Images" FMRIB Technical Report TR00MJ2, http://www.fmrib.ox.ac.uk/fsl/flirt
Josien P. W. Pluim, J. B. Antoine Maintz and Max A. Viergever, "Mutual information based registration of medical images: a survey", IEEE TRANSACTIONS ON MEDICAL IMAGING, VOL. XX, NO. Y, MONTH 2003.
Powell method to find the global minimum: mathews/n2003/PowellMethodMod.html http://math.fullerton.edu/ mathews/n2003/PowellMethodMod.html
Stephen M. Smith , BET: "Brain Extraction Tool", FMRIB technical Report TR00SMS2b, FMRIB (Oxford Centre for Functional Magnetic Resonance Imaging of the Brain), Department of Clinical Neurology, Oxford University, John Radcliffe Hospital, Headington, Oxford OX3 9DU, UK.
Thomas M. Lehmann, Claudia Gonner, and Klaus Spitzer. Survey: Interpolation Methods in Medical Image Processing. IEEE TRANSACTIONS ON MEDICAL IMAGING, VOL. 18, NO. 11, NOVEMBER 1999 1049.