Microscopy: Fluorescence Resonance Energy Transfer (FRET)-Acceptor

This algorithm uses acceptor photobleaching to compare the proximity of fluorescent-labeled molecules in two 2D images over distance:

Background

FRET refers to the nonradiative transfer of energy from an excited state donor fluorescent molecule to a nearby acceptor fluorescent molecule. The energy transfer efficiency E, defined as the number of energy transfer events divided by the number of photons absorbed by the donor, is related to the distance R between the acceptor and donor by:

Equation 1

where R0, the Forster critical distance, is the distance at which E = 0.5.

We also have

Equation 2

E=1FDAFD

where FDA is the donor fluorescence in the presence of an acceptor and FD is the donor fluorescence in the absence of the acceptor.

The equivalent of an acceptor's absence can be created by photobleaching the acceptor. Thus, a method using Equation 2 can be performed on a single sample by measuring the donor fluorescence before and after photobleaching the acceptor molecules.

Because FRET falls off as the sixth power of the distance between the donor and the acceptor, no FRET occurs for distances greater than 2R0. Since R0 is on the order of 10 to 70 Angstroms, by performing FRET measurements it is possible to distinguish proteins that are merely nearby in the same compartment from those proteins that are interacting with each other.

To access the FRET algorithm, you first open the two images in question and then select Algorithm > Microscopy > FRET in the MIPAV window.

Since unbleached acceptors quench the donor fluorescence with FRET and bleached acceptors do not quench donor fluorescence, the postbleached image donor fluorescence is greater than the prebleached image donor fluorescence.

In the Fluorescence Resonance Energy Transfer dialog box, you may choose as an option to register the two images before running the FRET algorithm. During registration MIPAV registers the pre bleached image to the post bleached image and uses correlation ratio as the default cost function. However, other cost functions available for use include least squares, normalized cross correlation, or normalized mutual information. After registration MIPAV runs FRET on the registered pre bleached image rather than on the original pre bleached image.

To run the algorithm, you must first delineate a VOI on the post bleached image. This requires that you select Add required donor fluorescence VOI in the dialog box and then return to the MIPAV window to choose an ellipse VOI, rectangle VOI, polyline VOI, or levelset VOI with which to draw the VOI. You can then, as an option, also identify a background VOI on the image by selecting Add optional background VOI and repeat the steps performed in drawing the required donor VOI. The VOIs must all be placed in the post bleached image, and the background region has a smaller average intensity than the donor region.

As an option, you can use both a signal normalization VOI and a background VOI. However, to use a signal normalization VOI, you must have a background VOI.

For color images, select the color corresponding to the donor fluorescence. For example, if the donor fluorescence is blue, select blue. If the donor fluorescence is red, select red.

Note: Only one color is used from a color image.


If a background VOI is present and no signal VOI is present, the average of the prebleached background is subtracted from the average of the prebleached donor region. The average of the postbleached background is subtracted is subtracted from the average of the postbleached donor region. Then, the energy transfer efficiency is calculated as (background subtracted postbleached donor intensity - background subtracted prebleached donor intensity)/background subtracted postbleached donor intensity.

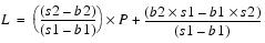
Let b and s be the prebleached background and signal values, and let b2 and s2 be the postbleached background and signal values. Then, the following equation is used to linearly scale a donor value from the prebleached image into a donor value in the postbleached image range:

where

L = Linearly scaled prebleached donor
P = Prebleached donor

Then

Image types

You can apply this algorithm to two 2D images or one 2-slice 3D image.

Notes

None.

References

Refer to the following references for more information about the FRET algorithm.

Gordon, Gerald W., Gail Berry, Xiao Huan Liang, Beth Levine, and Brian Herman. "Quantitative Fluorescence Resonance Energy Transfer Measurements Using Fluorescence Microscopy." Biophysical Journal 74(May 1998):2702-2713.

Kenworthy, Anne K. "Imaging Protein-Protein Interactions Using Fluorescence Energy Transfer Microscopy." Methods 24(2001):289-296.

Applying the FRET algorithm

To use this algorithm, do the following:

  1. Open two 2D images or one 2-slice 3D image that contain fluorescent-labeled components. The Load Bleached ROI message (see Figure 1) appears.
    Figure 1. Load Bleached ROI message

  2. Click Yes. MIPAV loads the images along with the bleached region of interest (ROI).
  3. Select the prebleached image (refer to ``Selecting Image Slices Quickly below).
  4. Select Algorithms > Microscopy > FRET in the MIPAV window. The FRET dialog box (see Figure 2) appears.
    Selecting Image Slices Quickly

    If the images or images slices are in the same file, you can quickly jump from one image or slice to another by using , the Decrements image slice icon, or , the Increments image slice icon.

  5. Select the postbleached image.
  6. Select-for color images-the fluorescence color in the Color selection panel.

    Note: The Color selection panel does not appear in the dialog box if the images are grayscale or black and white. Also, the number of colors that you can select in the Color selection panel depends on the number of colors in the images. If, for example, only red and green appear in the images, then those are the only colors listed. If three colors are present, then red, green, and blue appear.

    Figure 2. Fluorescence Resonance Energy Transfer (FRET) dialog box
    Prebleached image
    Specifies the image before acceptor photobleaching.
    Postbleached image
    An image after acceptor photobleaching.
    Add required donor fluorescence VOI
    Adds a mandatory VOI to the postbleached image.
    Add optional background VOI
    Adds an optional background VOI on the postbleached image.
    Add optional signal normalization VOI
    Requires that a background VOI be used. Adds an optional signal normalization VOI on the postbleached image.
    Color selection (only appears for color images)
    Select one of the available colors-red, green, or blue-that corresponds to the fluorescence-labeled component being quantified in the images. By default, red is selected. Note that only colors that appear in the images are listed in this panel.
    Registration before FRET`
    Registers the prebleached image to the postbleached image. The default is no registration. Selecting this check box enables the Cost function list.
    Cost function
    Specifies the registration cost function. You may select correlation ratio (the default), least squares, normalized cross correlation, or normalized mutual information. To use this item, you must first select Registration before FRET.
    Create registration image
    Creates the registered image in a separate image window. To use this check box, you must first select Registration before FRET. By default, this check box is selected when registration is selected.
    OK
    Applies the algorithm according to the specifications in this dialog box.
    Cancel
    Disregards any changes that you made in the dialog box and closes this dialog box.
    Help
    Displays online help for this dialog box.
  7. Select Add required donor fluorescence VOI.
  8. Go to the MIPAV window, and select one of these icons from the VOI toolbar:
      • Draw rectangle VOI
      • Draw ellipse VOI
      • Draw polygon/polyline VOI
      • Draw levelset VOI
    Figure 3. Example of (A) prebleached image and (B) postbleached image after FRET algorithm was applied

  9. Draw the VOI on the postbleached image. The VOI appears in red.

    Note: In drawing these VOIs, you do not need to first select the New VOI icon.


  10. Go to Step 12, or, if you wish, create an optional background VOI using the following directions:
  11. Select Add optional background VOI in the Select postbleach VOIs panel in the dialog box.
  12. Go to the MIPAV window and select , , , or to draw a rectangle, ellipsoidal, polygon/polyline, or levelset VOI on the image. A blue VOI appears on the postbleached image.

    Background region: The background region should not contain any structures and should be darker than the donor region.


  13. Go to the next step, or, if you wish, create an optional signal normalization VOI.
  14. Select Add optional signal normalization VOI in the Select postbleach VOIs panel in the dialog box.
  15. Go to the MIPAV window and select , , , or to draw a rectangle, ellipsoidal, polygon/polyline, or levelset VOI on the image. A green VOI appears on the postbleached image.

    Note: To use an optional signal normalization VOI, you must create a background VOI.


  16. Register the images as an option by doing the following:
      • Select Registration before FRET.
      • Select a cost function in the Cost function list. The default cost function is correlation ratio, but you can select least squares, normalized cross correlation, or normalized mutual information.
      • Select or clear Create registration image. Since registration is far more time consuming than calculating FRET, if you selected the Registration before FRET check box, the Create registration image check box is selected by default.
      • Click OK. The algorithm begins to run, and a progress bar appears momentarily with the status.
    When the algorithm finishes running, the progress bar disappears. The data appears on the Data page in the Output window (see Figure 4).
    Figure 5. FRET data in the Data page of the Output window

    Note: If you chose to register the images, the registered image appears in a separate image window, and the FRET data appears on the Data page in the Output window.